2025 - Orchestre Ludique Éphémère
2025 - Ephemeral Game Orchestra
2025 : OLÉ ou EGO ?
2025 : durée de vie : 120 jours

mise à jour : 30 juin 2025

OLÉ joue la musique jeu de l'ÉphémèreLLL
en 2 concerts publics :
le 16 mai 2025 à la radio Canal Sud
le 28 juin 2025 à la galerie Archipel

 

DU SYMPHONIQUE À L'ORCHESTRE DE CHAMBRE
DE L'ORCHESTRE DE CHAMBRE AU SYMPHONIQUE ?

PAS SYMPHONIQUE ? MAIS SUFFISANT pour recommencer à entendre la musique jeu

C'est parfaitement compréhensible qu'Arnaud Romet n'ait pas réussi en 2025, à Toulouse et sans budget, à rassembler 100 musiciennes et musiciens en 2 mois ! Ça montre que le nombre de musiciens libre, dans cette région et ailleurs, s'est réduit drastiquement. L'orchestre symphonique éphémère était encore possible dans les années 90 et 2000. Réussir en 2025 une telle entreprise, dans le paysage musical mondial dévasté (= en manque de musiques originales), et encore + dans ce pays, et encore + à Toulouse [qui se targue « capitale des musiques », sic, reconnaissance falsifiée décernée par l'UNESCO, sic : lire la lettre du compositeur : « Non ! Toulouse n'est pas une ville des musiques, parole de compositeur ! »] où partout la force de la volonté créatrice générale s'effondre dans l'ignorance (ou la déprime) qui interdit de distinguer les oeuvres originales des copies, relèverait de l'exploit ! En 45 ans, beaucoup de musiciens de profession ont quitté le métier. Après l'épidémie virale artificielle du covid, beaucoup de salles de concert et de festivals destinés à la création musicale originale ne sont plus subventionnés. C'est le coup de grâce de la destruction politique de l'art et de la musique. Beaucoup qui se destinaient à une carrière musicale se sont réfugiés dans l'amateurisme : par avoir « un boulot à côté, on peut faire quand même de la musique » (sic). Mais à quel prix ? pour écorcher l'intégrité de la musique ? L'amateurisme est une arme économico-politique d'anéantissement de la création originale d'oeuvres d'art et de musique. La musique bâclée s'entend avec si grande peine pour les artistes et avec une grande joie pour les politiques. Amateur, on ne peut pas se rendre intégralement disponible à la création originale, l'amateur « n'a pas le temps » (sic). La disponibilité est la qualité essentielle de l'artiste. Sans elle, l'oeuvre de musique ne peut pas être ni pensée en profondeur, ni formée, ni perfectionnée, elle est alors gâchée. Sans temps nécessaire, la création d'une oeuvre originale est impossible. Le temps est essentiel pour extraire l'essence de l'oeuvre. Être employé salarié empêche d'investir son temps dans la création originale. Faire exister une oeuvre originale demande un temps considérable de travail. L'épuisement et l'abrutissement en surplus des employés salariés amplifient l'indisponibilité nécessaire à oeuvrer l'originalité de la création artistique. Ouvrages crus être des oeuvres, à peine achevées, crues suffisantes, et publiées en masse (dans le réseau Internet). L'amateurisme est une aubaine pour le commerce des équipements de musique en masse (qui ne cesse depuis 35 ans d'augmenter ses profits). L'amateurisme qui se prétend professionnel est un désastre pour la création musicale. L'amateur ne peut pas générer des oeuvres originales. L'amateurisme entretient la tradition de la médiocratie par recopier ce qui a existé. Les amateurs devraient avoir la décence de leur frustration, en gardant pour elles et eux (et dépubliquer) leurs tentatives bâclées, donc ratées, de croire créer de la musique originale, alors que ce ne sont que des mauvaises copies du passé. Ceci dit, y a-t-il des amateurs inscrits dans l'orchestre ? Autrement dit, y a-t-il dans l'orchestre des musiciennes et musiciens qui manquent de temps et de disponibilité dans leur vie qu'ils elles ne peuvent consacrer à la création musicale ? Pourquoi ça pourrait être une question qui blesse celles et ceux qui s'y dissimulent ? Aussi la musique jeu est destinée à tout le monde, aux amateurs aussi. La musique jeu offre une manière détendue de jouir de la musique (sans pouvoir mal copier -pléonasme- ce qui a été déjà créé). Offre-t-elle aussi à satisfaire les ego meurtris ?

 

13 musiciennes et musiciens
rassemblés dans le 1er Orchestre Ludique Éphémère : OLÉ
est un exploit et un merveilleux cadeau
pour la musique vivante originale des compositeurs vivants :) *

 

Dont voici la nomenclature de cette 1ère formation au 15 mars confirmée le 10 avril 2025 :

1 voix féminine
1 voix masculine
1 flûte traversière
3 violons
1 clarinette sib
1 clarinette contrebasse
1 trombone
1 guitare électrique
1 guitare basse électrique
1 orgue DX27
1 violoncelle
Élise 
Anaïs 
Manuel 
Anthi 
Laëtitia
Lucie 
Arnaud 
Jason 
Henri 
Élisa 
Stéphane 
Laurent 
Dominique 
: Violon
: Violon
: Guitare électrique
: Flûte traversière
: Voix alto
: Violon
: Orgue DX27 Yamaha
: Basse électrique
: Trombone
: Clarinette contrebasse
: Voix basse
: Clarinette sib
: Violoncelle

L'orchestre à 13
se stabilise dans
le pari- mari- taire : Olé !

 

 

NAISSANCE DU 1er ORCHESTRE LUDIQUE
de l'histoire de la musique occidentale, OLÉ

Naissance de l'Orchestre Ludique Éphémère le 1er mars 2025

Le 1er puis le 15 mars, puis le 10 avril (assurance de) la naissance du 1er orchestre (maritaire ?) qui se destine à jouer la musique ludique (music game), celle essentiellement à tendance lewis carollienne imaginée par le compositeur Mathius Shadow-Sky avec Luduc Musicae Temporarium écrite en 1980 (jouée en 1988 par Les Percussions de Strasbourg au Manca à Nice, avec une première ratée par Desorgher à Londres en 1985), mais aussi avec les musiques-jeux des autres compositeurs *. La musique jeu ne joue pas les jeux à stratégie guerrière. Le jeu musical stratégique qui fut inauguré avec Duel de Iannis Xenakis (jeu écrit de 1959, joué en 1971, puis Stratégie en 1962) ou Cobra de John Zorn (jeu écrit en 1984, joué en 1987). Parce que les jeux à stratégie guerrière obligent à gagner pour le mérite. Gain & Gloire forment 2 attitudes que la musique évite, pour ne pas générer un malaise chez les musiciens et les auditeurs (ce qui n'empêche pas de sonner l'hostilité en musique). Notre vie quotidienne en regorge assez comme ça à cultiver l'hostilité générale et permanente qui nous épuise. On ne peut pas vouloir ressentir musicalement la peine des perdants qui repartent à jouer avec le sentiment d'avoir été manipulé et humilié. La musique jeu ne se joue pas pour l'humiliation par la compétition, bien qu'elle l'intègre, où il n'y a rien à gagner que sonner la musique autrement. Le jeu carollien ou shadow-skien s'efforce de donner à acquérir l'habileté, la capacité et l'intelligence de pouvoir jouer tout ce qu'on ne sait pas jouer. Y compris l'organisation individuelle de l'orchestre ensemble. La musique jeu shadow-skienne a été conçue pour jouer à donner à comprendre que la vie n'a pas à être simplifiée pour en faire des dictatures politiques douloureuses. La musique est à l'opposé de la militarisation qui impose la hiérarchie monoscalaire avec obéissance absolue à des ordres binaires (fais ça/fais pas ça : permis/interdit). La musique est à l'opposée de toute domination, pour la raison simple que dominée commandée humiliée, la musique ne sonne pas. Peut-être a-t-on oublié ce qu'est la musique pour l'avoir réduite à des signalisations mémorisées (ordres à obéir) et du bruit de fond (autrement nommé « easy listening ») ? Simplifiée la musique sonne la dictature et la simplicité répétée sonne l'abrutissement de l'espèce humaine. **

 

Notes
* Adam Izaak Wasążnik tente de rassembler dans son wiki toutes les musiques ludiques qu'il rencontre : http://musicgames.wikidot.com/.
Alan Brett, Bobby McFerrin, Carl Bergstrøm-Nielsen, Christopher Hobbs, Cornelius Cardew, Howard Skempton, John Cage, Lawrence ‘Butch’ Morris, Mathius Shadow-Sky, Mud Cavaliers, Oumupo, Peter Brötzmann, Trevor Wishart, Walter Thompson, etc. http://musicgames.wikidot.com/hub:wiki
** Nous sommes complètement à l'opposé (ou indifférent) de ce que Iannis Xenakis veut du jeu pour la musique : « Un jeu dégénéré est celui dans lequel les parties jouent arbitrairement en suivant des parcours plus ou moins “improvisés” (sic), mais sans conditionnement conflictuel (sic), donc sans valeur compositionnelle (sic). C’est un faux jeu. » (sic) Xenakis, Musiques Formelles, 1963, page 140. On peut soupçonner I.X. être un adorateur du conflit et de la guerre ! : « La seule (façon) valable, la seule qui apporte quelque chose de nouveau, dans le cas de plusieurs orchestres, est celle qui est sanctionnée par des gains et des pertes, par des victoires et des défaites. » (sic) « Le gagnant a gagné parce qu’il a simplement mieux suivi [obéi] les règles du jeu imposées par le compositeur (sic) qui, par conséquent, revendique la responsabilité du “beau” ou du “laid” de sa musique (aïe ! sic). » Instructions dans la partition de Duel, 1959. Pour un état d'esprit libre qui partage et développe son savoir, ces propos relèvent d'une dictature et d'une idiotie sans sympathie. Sans sympathie la musique ne sonne pas. En effet, la pauvreté musicale de Duel et Stratégie en font des oeuvres râtées.

 

.

 

MUSIQUE JEU POUR ORCHESTRE

 

icone de la couverture du manuel de la musique jeu de l'EphémèreLLL

 

 

CUISINE DU COMPOSITEUR

 

SONNANCE NONOCTAVIANTE DONNÉE PAR L'ORGUE DX27 à synthèse inharmonique FM
- l'aubaine !

Do3 et autour est la zone dez hauteurs commune à TOUS ! les instrument de notre orchestre à 13.
Do3 est la hauteur commune à tous les musiciens de l'orchestre. Tous à l'unisson sur do3.

Do3 est aussi la note/fréquence de référence pour la construction d'échelles, car elle est au milieu du champ audible humain :
do3 261,625 Hz (la hauteur « origine » sur laquelle se construisent les échelles).

L'orgue DX27 reçoit les fichiers Scala [programme calculateur d'échelles https://huygens-fokker.org/scala].
Ça, donne la possibilité d'accorder l'orgue sur une échelle nonoctaviante ! Oh Yeah !
L'orgue DX27 est alors l'instrument référant sur lequel tous les musiciens de l'orchestre s'accordent.
L'orgue donne le ton de la nonoctaviation à tout l'orchestre.

Exemples
L'échelle nonoctaviante du 23e harmonique à 77 cents avec une densité 15/16 tons/octave.
Ou celle du 24e harmonique à 73,7 cents avec une densité 16/17 tons/octave.
Ou celle du 25e harmonique à 70,7 cents avec une densité 17/18 tons/octave, pourrait l'une et/ou l'autre être l'élue.
Consulter les tables, les analyses et entendre les échelles harmoniques à http://www.centrebombe.org/livre/10.1.4.html
J'ai donné à Arnaud le choix des échelles qu'il préfère
dans un paquet de 257 échelles (oui ! + nombreuses que les échelles octaviantes) : 257.shadow-sky.nonoctave.scales.zip

 

 

ÉTENDUE DES HAUTEURS : AMBITUS DES TESSITURES DES MUSICIENNES/CIENS DU 1er ORCHESTRE LUDIQUE ÉPHÉMÈRE

 

La fréquence la plus aiguë de l'orchestre est 2093 Hz (do6), elle est atteinte par l'orgue, la flûte en do, et les 3 violons.
La fréquence la + grave de l'orchestre est 41,2 Hz (mi0), elle est atteinte par la guitare basse électrique.
Extrêmes qui par une scordatura peuvent être modifiés.

plages de corresppondances des tessitures des 14 instruments de l'orchestre ludique éphémère icon
A4 png à l'intérieur

Pour obtenir l'intervalle de l'étendue de l'orchestre, on divise les 2 fréquences extrêmes : 2093Hz/41,2Hz = 50,8.
Cet intervalle est le contenant de l'accord de l'orchestre des 13 premiers tons des 13 premiers musiciens de l'OLÉ.

 

 

CETTE MUSIQUE-JEU COMMENCE AVEC                           « DISTANCES »

 

La musique-jeu commence avec l'AI : l'Accord Initial sonné par tous les 14 premiers 1ers musiciens du 1er Orchestre LÉ
Cet accord dépend de la nomenclature de l'orchestre de ses tessitures et registres des instruments dans l'orcherstre:

 

CONSTRUCTION DE L'ACCORD EPARS INITIAL DE DEPART

 

COMMENÇONS ET PARTONS DE L'EQUIDISTANCE
À 13 tons pour 13 musiciens, on a à l'intérieur de l'accord 12 mêmes intervalles : 12√50,8 = 1,3872518394829225515271127933418 (+ petit qu'une 4te+ à 1,414).
L'intervalle 1,38 est la distance initiale qui sépare le ton de chaque musicien de l'orchestre, dont voici les 13 positions (= hauteurs) formant l'échelle acyclique nonoctaviante suivante :

À 13

1 41,2 Hz MI0
2 57 Hz + bas que SIb0
3 79,3 Hz + haut que MIb1
4 110 Hz LA1
5 152,6 Hz + bas que MIb2
6 211,6 Hz + haut que SOL#2
7 293,65 Hz RÉ3
8 407 Hz + bas que SOL#3
9 565 Hz + haut que DO#4
10 784 Hz SOL4
11 1087,5 Hz + haut que RÉ5
12 1508,7 Hz + haut que FA#5
13 2093 Hz DO6

 

 

À 13 intervalles (par curiosité ou prévoyance) et 14 tons : 13√50,8 = 1,3527585438456423057409524811664 (+ grand qu'une 4te à 1,33).
L'intervalle 1,35 est la distance initiale qui sépare le ton de chaque musicien de l'orchestre, dont voici les 14 positions (= hauteurs) formant l'échelle acyclique nonoctaviante suivante :

À 14

1 41,2 Hz MI0
2 55,73 Hz + haut que LA2
3 75,4 Hz + haut que RE1
4 102 Hz + bas que SOL#1
5 138 Hz + bas que DO#2
6 186,6 Hz + haut que FA#2
7 252 Hz + haut que SI2
8 341,5 Hz + bas que FA3
9 462 Hz + bas que SIb3
10 625 Hz + haut que MIb4
11 845,5 Hz + haut que SOL#4
12 1143,7 Hz + bas que RE5
13 1547 Hz + bas que SOL5
14 2093 Hz DO6

À 13, il est possible d'omettre de jouer/sonner le DO6 ou le MI0.

 

 

Avec l'accord initial sonné par l'orchestre des 15 premiers musiciens à 14 intervalles répartis à distances égales dans l'étendue propre à la nomenclature de l'orchestre,
on a : 14√50,8 = 1,3238763015627374475593796317458 (proche de la 4te 1,33).
L'intervalle 1,32 est la distance initiale qui sépare le ton de chaque musicien de l'orchestre, dont voici les 15 positions (= hauteurs) formant l'échelle acyclique nonoctaviante suivante :

À 15

1 41,2 Hz MI0
2 54,54 Hz dessous LA0
3 72,2 Hz + bas que RÉ1
4 95,6 Hz + haut que FA#1
5 126,5 Hz + bas que DO2
6 167,5 Hz dessus de MI2
7 221,8 Hz dessous LA2 (la belle fausse double octave avec 54,54Hz)
8 293,6 Hz RÉ3
9 388,7 Hz + bas que SOL3
10 514,6 Hz + bas que DO4
11 681,3 Hz + bas que FA4
12 902 Hz + bas que SIB4
13 1194 Hz + haut que RÉ5
14 1581 Hz + haut que SOL5
15 2093 Hz DO6

À 13, il est possible d'omettre de jouer/sonner le DO6 et le MI0.

 

 

Avec 16 musiciens et 16 tons on a : 15√50,8 = 1,2993443056715054485229220484471 (+ grand qu'une 3ceM 1,25).
1,3 est la distance initiale qui sépare le ton de chaque musicien de l'orchestre.
Dont voici chacune des 16 positions (= hauteurs) formant l'échelle acyclique nonoctaviante :

À 16

1 41,2 Hz MI0
2 53,5 Hz + haut que SOL#0
3 69,5 Hz + haut que DO#1
4 90,4 Hz + bas que FA#1
5 117,4 Hz + haut que SIb1
6 152,5 Hz + bas que MIb2
7 198,3 Hz + haut que SOL2
8 257,6 Hz + bas que DO3
9 334,7 Hz + haut que MI3
10 435 Hz + bas que LA3
11 565 Hz + haut que DO#4
12 734,3 Hz + bas que FA#4
13 954 Hz + haut que SIb4
14 1239,7 Hz + bas que MIb5
15 1610,8 Hz + haut que SOL5
16 2093 Hz DO6

À 15, il est possible d'omettre de jouer/sonner le DO6 ou le MI0. À 14, il est possible d'omettre de jouer/sonner le DO6 et le MI0. À 13, il est possible d'omettre de jouer/sonner le DO6 et le MI0 + un autre ton au choix.

 

ETC.

 

LE MÉLANGE DE CES 4 SCALAIRISATIONS D'ACCORDS,
DE CES 4 EQUIDISTANCES DANS L'ÉTENDUE MI0-DO6,
POUR PLACER CHAQUE MUSICIEN DE L'ORCHESTRE À UNE POSITION DE DÉPART
DONNE UN ACCORD DE 49 TONS
- [notons qu'à 100 musiciens, à l'intérieur de l'étendue 50,8 (mi0-do6), entre chaque musicien il y a un intervalle d'1/3 de ton tridécimal 1,04 : 1,04006 (le 1/3 de ton égalisé = 1,039 = 66,66 cent] -,
PAS 52, PARCE QU'IL Y A 3 TONS COMMUNS ENTRE LE 1ER LE 3E ET LE 4E :

152,5Hz commun aux 4e et 1er accord
293,6Hz commun aux 3e et 1er accord
565Hz commun aux 4e et 1er accord

- Ça sonne comment ?
- Ça sonne comme ça :

 

 

DE CETTE MASSE À 49,
LÀ, L'EXTRACTION RETENUE DES 14 HAUTEURS DISTRIBUÉES SELON LE REGISTRE DES 14 INSTRUMENTS DES 14 MUSICIENS :

fréquence note approximative instrument note la + grave de l'instrument, ou 
étage 0 du parterre ordinaire
2093Hz do6 Violon 3 sol2
1610,8Hz dessus sol5 Voix féminine do3
1194Hz dessous ré5 Violon 2 sol2
902Hz dessus la4 Flûte traversière do3
681,3Hz dessous fa4 Violon 1 sol2
462Hz dessous sib3 Voix masculine do2
388,7Hz dessous sol3 Clarinette sib ré2
257,6Hz dessus si2 Guitare électrique 2 mi1
167,5Hz dessus mi2 Trombone mi1
126,5Hz dessous do2 Guitare électrique 1 mi1
102Hz dessous sol#1 Violoncelle do1
75,4Hz dessus ré1 Orgue DX27 do1
57Hz dessous sib0 Clarinette contrebasse fa0
41,2 Hz mi0 Guitare basse électrique mi0

- Ça sonne comment ?
- Ça sonne comme ça :

 

Quels sont les intervalles formateurs de cet accord ?
Du grave à l'aigu : - 1,38 - 1,32 - 1,35 - 1,24 - 1,32 - 1,54 - 1,51 - 1,18 - 1,47 - 1,32 - 1,32 - 1,35 - 1,3
[sachant que 1,5 est la 5te, 1,33 la 4te, 1,25 la 3ceM, 1,2 la 3cem, 1,16 la 3cem septimale dans la série harmonique]
[dans l'égalisation : 1,49 pour la 5te, 1,335 pour la 4te, 1,26 pour la 3ceM, 1,19 pour la 3cem, etc.]
Ça donne de la place pour s'entendre :

Accord Initial à 14 tons distribués aux 14 instruments de l'orchestre

L'accord tutti de départ sonne des positions DISTANTES entre tous les tons des musiciens.
En état de DISTANCIATION on ne peut que désirer :
       1. se rapprocher ou
       2. rester éloigné ou
       3. s'éloigner encore +.
À TOUTE POSITION D'UN TON, IL Y A TOUJOURS 3 DIRECTIONS POSSIBLES À CHOISIR :
       1. vers l'aigu,
       2. pareil,
       3. vers le grave
TOUT DÉPEND DE  QUI   ON SE RAPPROCHE ET DE  QUI   ON S'ÉLOIGNE.

 

J'AI ENVOYÉ À CHACUNE À CHACUN
SA FRÉQUENCE EXACTE AUDIBLE (AUDIO SINUS MP3)
DE L'ACCORD DE COMMENCEMENT ET DE LA FIN DE LA MUSIQUE

LÀ,
LE PAQUET ZIP DES TONS SINUS POUR L'OUVERTURE ET LE FINALE POUR LES 13 MEMBRES DE L'ORCHESTRE [zip 43Mo]
EphemereLL.partie.1.-.13.tons.sinus.pour.Overture.&.Finale.zip

 

.

 

MUSIQUE ÉPHÉMÈRLLL & POLYTEMPI
PLAT D'EAU DE TABLE DES TEMPI
OU PLAT À TABLE DES TEMPI D'EAU

LLL TRANSPOSÉE AUX INSTRUMENTS RYTHMIQUES

DÉPLOIE DIFFÉRENTES VITESSES [TEMPI] JOUÉES EN MÊME TEMPS
À S'ATTIRER DANS LA MÊME PULSATION
À SE DISTANCER DE LA MËME PULSATION
IL Y A DES VITESSES COMMUNES QUI SE FONT ET SE DÉFONT
LA PULSATION EST UNE FRÉQUENCE QUI SE VARIE COMME LA HAUTEUR DE TON

 

Puis il y a les tempi...
Un tempo est aussi une fréquence.

L'unisson de tempi se réalise quand plusieurs tempi différents se rejoignent en un seul.

Donc, comme pour les hauteurs, chaque musicien commence la musique avec son propre tempo éloigné de l'autre
(aujourd'hui avec un smartphone et des écouteurs, on peut avoir enregistré sa fréquence et son tempo) :

plage de tempi personnels instrument
216 bpm <-> 220 bpm Voix masculine
182 bpm <-> 188 bpm Clarinette sib
161 bpm   = 161 bpm Violon 1
140 bpm <-> 138 bpm Violon 2
123 bpm <-> 119 bpm Violon 3
121 bpm <-> 102 bpm Guitare électrique 2
118 bpm <-> 088 bpm Guitare électrique 1
107 bpm <-> 075 bpm Guitare basse électrique
106 bpm <-> 064 bpm Flûte traversière
095 bpm <-> 055 bpm Violoncelle
094 bpm <-> 047 bpm Voix féminine
078 bpm <-> 041 bpm Trombone
077 bpm <-> 035 bpm Clarinette contrebasse
070 bpm <-> 030 bpm Orgue DX27

. La 1ère colonne de gauche de tempi est l'équivalence des fréquences de l'accord retenu à 14 tons
  localisées dans le monde de la pulsation entre : 70 et 216 bpm.
. La 2de colonne de droite est la répartition équidistante de 14 tempi entre 30 et 220 bpm :
  220/30 = 7,3333 (presque 3 octaves <=> 8) pour obtenir 14 tempi équidistants 13√7,3333 = 1,1656 (intervalle proche d'une 3ce m).

Le mélange des 2, forme un intervalle entre 2 vitesses, c'est sa zone de vitesses dans laquelle le musicien joue.
Sauf pour 1 seule où son tempo est fixe à 161 bpm.
Comme avec les fréquences où les 14 instruments ont tous la hauteur commune à 261Hz (do3),
avec les vitesses mesurées au tempo bpm = battements par minutes, la vitesse commune du milieu (presque) est à 111 bpm.

 

- OUI ?
- TOUTES LES POSITIONS [DE VITESSES ET DE HAUTEURS] SONT-ELLES INTERCHANGEABLES ?
- OUI !

Pour la première du 16 mai 2025, on met de côté : la musique à plusieurs tempo.

 

ÇA PULSE ? OU PAS ?

Pour faire et donner à une pulsation à la musique, une forte impression avec délicatesse, subtilité et sophistication (sans sophisme), on ne sonne pas dans le jeu instrumental la battue même. Faire ça, est une redondance (= une insistance qui révèle le doute de celui ou celle qui frappe ?), une superfluité (= une plaie ? à cause d'un flux trop important -de sang- qui déborde son contenant ?), non, mais un pléonasme, une redite (un refaire qui est déjà fait, une domination mécanique) qui empêche la pulsation de pulser : par jouer dessus, ça l'étouffe. La pulsation, pour la ressentir, pour lui donner toute son ampleur, il faut la jouer entre ses temps. Ça lui laisse toute sa place sans lui marcher dessus. Ce que d'Afrique le musicien a compris depuis des millénaires et qu'ici on ne comprend toujours pas.

...

.

 

PRÉPARATION À LA MODE DU JEU
OU À LA MANIÈRE DE JOUER SON INSTRUMENT
POUR LA PREMIÈRE MUSIQUE DE L'ORCHESTRE LUDIQUE EPHEMERE

 

Il existe des manières particulières de sonner ce qu'il y a à jouer dans le jeu et dans l'orchestre.
Pour ça, tous les instruments doivent être préparer à leur mode de jeu propre.
Instruments pas modifiés, mais ajustés aux nouvelles techniques pour être prêt à sonner la musique.

Comment jouer ici :

Sa voix féminine
Sa voix masculine
Sa flûte traversière
Sa clarinette sib
Sa clarinette contrebasse
Son trombone
Sa guitare électrique + pédale de volume + effet de saturation ["distortion"] dosé au fx blender
Sa guitare basse électrique + pédale de volume
Son orgue DX27 + pédale de volume + pédale de pitch bend + effet de saturation ["distortion"]
Son violon à 3
Son violoncelle

 

Télechargements

PRÉPARATION des instruments de musique de l'Orchestre Ludique Éphémère avant la musique :

Orchestre.Ludique.Ephemere_preparer.son.instrument.de musique.avant.de.jouer.dans.l.orchestre.pdf

Technique de jeu PV pression+vitesse à l'archet pour les violons et les violoncelles et les contrebasses et les altos aussi :

PV.-.methode.1984.de.jeu.pression+vitesse.de.l.archet.pdf

 

...

 

 

OUVERTURE & FINALE FIXÉS

- Il apparaît que l'intégralité de la musique ne relèvera pas uniquement du jeu libre entre les 13 joueurs-musiciens. Il y a des expériences harmoniques que je voudrais faire entendre et on se réserve pour ça l'ouverture et le finale de la musique. Entre ça, l'espace-temps du jeu de l'Ephémèrellle (avec 3 l) sonnera pendant son temps imparti (par l'émission radiophonique).
- Est-ce la signalisation du commencement et de la fin du jeu ?
- Question provocante ? 2 signalisations de 7 minutes ? Sachant que la musique est loin du signalement et du bruit de fond.
- Au départ, il s'agit de fixer un accord épars où toutes les joueuses et joueurs sonnent la distance suffisante ensemble en accord pour se rapprocher ensuite. Entendre d'abord les différences avant d'entendre la l'unification ou l'indiscernable dans l'unisson. En langue des lignes, ses nombreux symboles, soit ça commence avec des tons distants, soit ça commence avec des unissons. L'unisson de tout l'orchestre, on va l'entendre à un moment, est le moyen de fusionner les différences qui se perçoivent moins qu'à des positions de tons épars. Il y a vraiment des figures qu'on voudrait entendre qui avec un temps aussi court pour la composition et sans répétition ne va pas décourager les musiciennes à jouer cette acrobatie sans filet !

schéma d'ensemble Ouverture et Finale de la musique du 16 à 13
png A3 à l'intérieur

 

VOIX : 1 COUPLE VOCALE

Ça donne à la musique la dimension vocale de l'opéra. Je ne vais pas écrire un opéra de chambre avec si peu de temps pour l'écriture et sans répétition de l'orchestre. Je favorise le duo vocal à chanter dans leurs tons mêlés, les symboles d'LLL (de la langue des lignes) en duo, avec texte dialogué. + que des voix instrumentales ayant la même fonction que les autres instruments de l'orchestre. C'est une belle occasion d'entendre enfin la langue des lignes chantée en même temps que jouée.


png A3 à l'intérieur

 

.

 

1ERS SCHÉMAS ET MANUELS

Le manuel [pdf 5 pages A4] avec les instructions du jeu des ÉPHÉMÈRELLL
est prêt dans sa 1ère version,
certainement à parfaire pour éclairer « les coins perçus obscures » imcompris.

 

Si l'ouverture et le final sont fixés dans la musique, ici à 13, de l'ÉPHÉMÈRELLL, c'est pour commencer la musique avec 13 localisations les + distantes les unes des autres. Distances qui sonnent la formation de l'accord, de l'incertitude à l'exactitude fixée du ton en Hertz. Et, la finir 13 à l'unisson qui s'écartent à rejoindre leur position de départ. 6 minutes pour l'ouverture, 6 minutes pour le finale. Ces 2 dispositions, très simples, donnent à entendre une richesse acoustique complexe. Sachant que pour le compositeur, le défi est décrire des directives simples pour obtenir des résultats complexes.

image icône du début et fin de la musique EphémèreLLL à 13

Ouverture
Pour commencer la musique jeu Éphémèrelll tous les musiciens commencent à faire naître un accord aux tons épars. ppp crescendo fff. Cet accord est formé de 13 tons fixés. L'idée de ce commencement est de jouer : de l'incertitude à la certitude, avec son propre ton. L'intérêt de ce processus est d'entendre : la richesse de l'incertitude qui progressivement se fixe dans une position immuable. Une fois l'immuabilité de l'accord obtenu, qui va crescendo les 6 minutes nécessaires (à prendre son temps ensemble) à son FFF.   Subito Silence.   Qui dure pour donner à entendre progressivement ce que l'accord de l'ensemble masquait dans le fond.   Puis :   une figure LLL à 13 jouée en 2 secondes, donc rapide et intense fff.   Silence Subito.   Puis un accord doux crescendo à 5 tons dans lesquels les 13 sont répartis,   puis   une autre figure LLL qui se coupe de silences (qui se rythme) vers un autre accord fixe à 5 tons, etc. L'ouverture peut s'arrêter là, ou continuer.

- Ça sonne comment ?
- Comme au-dessus,
- Ça sonne comme ça :

 

- Ici, la simulation en 3'33'' de l'ouverture à 13 :

 

 

Finale
Pour finir, tous les musiciens de l'orchestre se rejoignent sur la hauteur commune do3 à 261Hz. Le temps qu'il faut pour durer pour percevoir les différenciations minimes dans la masse, tels les battements et métamorphoses de timbre. Ce n'est pas un « drone » : un ton permanent pour concentrer les inattentions ; mais c'est une MASSE GROUILLANTE. La masse grouillante de l'unisson imparfait dure. Dans cet unisson général, il n'y a pas de processus de l'instable au stable ou du stable à l'instable, mais instable et stable sont constamment interchangeants.    Puis, après un silence subito (un flash)    on entame doucement l'écartement tonal qui dure 6 minutes ou + ou - : ce déploiement ou cette floraison est très très lente. À 13, il y a tous les battements fréquentiels qui apparaissent et disparaissent à mesure qu'on glisse ailleurs. Ça, c'est très jouissif ! C'est comme un ascenseur qui nous ramène à notre réalité sociale quotidienne, ou ailleurs dans une autre.

- Ça sonne comment ?
- Cette floraison en 6 minutes ?
- Ça sonne (en simulation ou en une interprétation possible) comme ça :

 

 

 

.

 

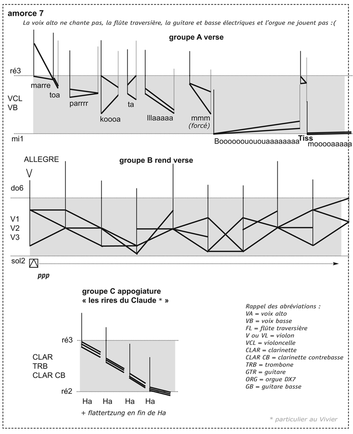
AMORCES POUR IMPULSION AU JEU ORCHESTRAL DE LA MUSIQUE

 

- Proposition de 23 amorces
- 23 ?
- qui se disposent
- dans l'espace temps du jeu,
- entre l'ouverture et le finale :

 

Histoire générale organigramme de cette partie de la musique-jeu EphémèreLLL en 23 amorces :


png A4 à l'intérieur

 

10 AMORCES SUFFISENT POUR AMORCER
LA 1ERE PARTIE DE LA MUSIQUE JEU DE L'EPHEMERELLL
POUR LE 16 MAI 2025 :

 


pdf A4 à l'intérieur


pdf A4 à l'intérieur


pdf A4 à l'intérieur


pdf A4 à l'intérieur


pdf A4 à l'intérieur


pdf A4 à l'intérieur


pdf A4 à l'intérieur


pdf A4 à l'intérieur


pdf A4 à l'intérieur


pdf A4 à l'intérieur

Rythme audio à 80 bpm du groupe C à varier :

 

 

 

icone de la couverture du manuel de la musique jeu de l'EphémèreLLL

Manuel complet des instructions pour jouer la musique jeu de l'ÉphémèreLLL [26 pages A4 6,7Mo]
L'origine de l'orchestre composé de 13 musiciennes et musiciens est mouvante et donc adaptable.

 

.

 

« C'est sûr que tes graphiques peuvent laisser un peu perplexes par leur complexité apparente, mais je pense que ta musique n'offre pas plus de “malaise” que celle de Penderecki ou de Ligeti » Falter Bramnk, août 2025. [à propos de la musique ludique de l'EphemereLLL]

 

.

 

Résultats musicaux

 

Orchestre Ludique Éphémère,
première tentative de jouer la musique jeu de l'ÉphémèreLLL

le 16 mai 2025 en direct à la radio Canal Sud à Toulouse

l'orchestre en préparation ezt annonce radio

Orchestre.Ludique.Ephemere.-.concert.May.16.2025.at.radio.Canal.Sud.in.Toulouse.France.mp3

à 10 :

Laëtitia Boyault : Voix alto
Stéphane Marcaillou : Voix basse
Anthi Papadimitriou : Flûte traversière
Laurent Avizou : Clarinette sib
Anaïs Ramon : Violon
Lucie Laricq : Violon
Dominique Regef : Violoncelle
Élisa Trocmé : Clarinette contrebasse
Arnaud Romet : Orgue DX27 Yamaha
Jason Mache : Basse électrique
Mathius Shadow-Sky : composition et direction

1er Orchestre Ludique Ephémère en répétition avant le concert radiophonbique du 16 mai 2025
poster inside!

 

.

 

 

Orchestre Ludique
doit-il être
Dilettante pour être Éphémère ?

La nonchalance de membres de l'ensemble
a-t-elle fait exception ce 16 mai 2025 ?

Psychologiquement que se passe-t-il dans l'esprit des musiciens/nes qui viennent s'inscrire pour vivre une expérience musicale singulière en orchestre ? Sachant qu'il règne dans leurs états d'esprit le paradoxe : « je viens jouer » et « je ne joue pas le jeu ». Mais pensant : « je fais ce que je veux », disant : « je fais ce que je peux » et faisant : « je ne fais pas ce que je ne veux pas », c'est-à-dire les volontés inscrites par le compositeur. Avec ces intentions, il devient encore plus difficile de former la musique. Comment et pour quoi en arriver là à faire ça ? En Occitanie, dans le monde de la musique de ceux des humains se disant d'état d'esprit ouvert, on rencontre « le souci de refuser l'effort », et + : de « se contenter du résultat du moindre effort ». En Occitanie, et ailleurs, « improviser la musique » est le refuge des musiciens qui ne veulent pas faire l'effort d'ouvrir leur état d'esprit à jouer la musique avec d'autres attitudes (que la leur, croyant à s'en défaire, se défaire de leur personnalité). Dans le Sud, au soleil, on fait peu d'effort, ou le moins possible : est-ce pour ne pas transpirer ? Est-ce pour évacuer de sa vie « tous les problèmes existentiels à résoudre » ? Mais dans le contexte de l'orchestre, le premier effort personnel est de vouloir comprendre la musique que le créateur communique. La négligence atteint son comble quand un/e musicien/ne vient voir le compositeur le jour du concert pour lui dire qu'elle il n'a rien compris à la musique jeu à jouer ! Et, le compositeur surpris ! disant : « mais ! pourquoi ne m'as-tu pas appelé plus tôt [en 1 mois] pour que je réponde à tes questions ? ou au moins à te réexpliquer le jeu et me demander ce que tu ne comprends pas dans mon explication ? » Il n'y a rien à répondre à ça. Ai-je été surpris à ce qu'aucun/e musicien/ne ne vienne avec sa fréquence audio pour jouer précisément le ton de l'ouverture et du finale ? Ça, m'a informé de l'intention des musiciens de l'orchestre pour ce concert du 16 mai : « personne ne va jouer le jeu » [et en effet, personne ne l'a joué].

Ce dilettantisme général des musiciennes et des musiciens où 3 se sont désistés le jour même du concert fait que la pratique musicale en Occitanie est d'un niveau général médiocre. L'attitude du musicien-joueur que je m'efforce de développer pour remplacer le musicien-exécutant, le musicien-interprète, et +, le musicien-improvisateur (qui tous deux n'inventent rien, mais répètent leurs acquis, tout en se croyant, jusqu'à être persuadé, jusqu'à être convaincu, être libre, sic) s'oppose à un refus général. Pourtant, ce qu'apporte la musique jeu à la musique et aux musiciens/nes est de pouvoir se libérer des conventions qui nous agissent et de pouvoir jouer la musique avec un état d'esprit de liberté que l'improvisation n'offre pas. L'improvisation fait croire être libre dans un enclos. Faire qu'importe quoi ne fait pas faire qu'importe quoi, mais fait faire ce que le contexte de l'incompétence commande aux joueurs et joueuses qui ne jouent pas, mais qui sont jouées par leurs acquis. Cette attitude des musiciens de se sonner qu'importe quoi (pour se croire libre) ou l'à peu près règne dominant dans l'orchestre impose à l'arbitre de la musique jeu (le mixeur de la musique jeu qui derrière empêche l'arbitraire et la négligence d'envahir le jeu collectif pour que la raison de l'existence de la musique jeu ne soit pas annihilée) le rôle de chef d'orchestre. Les musiciens dilettantes forcent l'arbitre à devenir chef pour les conduire dans leur sonnance-de-qu'importe-quoi.

C'est là qu'on comprend qu'aucun chef ne prend le pouvoir politique pour diriger les autres, si ces autres ne désirent pas être dirigés et vivre vécus par celui à qui on a donné les commandes. L'intention de la non-intention est claire : « moi, je me laisse vivre, je te donne le pouvoir de me diriger, par te donner toutes les responsabilités de mon existence, pour que moi j'en sois lavé ». C'est pour ça que le pouvoir du chef politique existe : pour que les individus vivent irresponsables, pour se convaincre vivre « libéré de leurs responsabilités » (pour obtenir la permission - artifice de la frustration - de nuire aux autres). La raison profonde de l'existence de la domination politique dans nos sociétés de civils est « de se libérer de la disposition naturelle : ne pas nuire aux autres ». Toute domination existe pour nuire à l'autre, toujours, pour rien (ou pour combler la frustration de sa vie qu'on s'est soi-même trompée). On imagine cette réalité déniée par « tous les [faux] innocents qui peuplent cette planète » (sic) qui se disent, et sont toutes et tous convaincus vivre libre (sic). Dans l'effet, ces gens-là confondent volontairement, par réfugier dans l'inconscient ou par cacher dans le non-dit, « vouloir vivre de l'innocence irresponsable » volonté arrachée en imposant à un humain à élire à l'obliger à se disposer en chef. La vie vie victimisée et l'innocent.e n'existe pas sans chef (= sans autorité).

Donc, ce 16 mai 2025, la musique jeu de l'ÉphémèreLLL n'a pas eu intégralement lieu. Une tentative. Les musiciennes et musiciens de l'orchestre maritaire ont forcé le compositeur à agir en chef d'orchestre, pour diriger leurs incohérences sonores sues ou leur volonté de ne pas vouloir comprendre, ni de vouloir jouer le jeu, pour imposer la dictature de l'incompétence, pour obtenir un chef d'orchestre pour les diriger ; entendant qu'ils elles ne veulent pas (disant ne pas pouvoir) jouer le jeu de l'ÉphéméreLLL. La musique résultante ne sonne pas une partie du jeu de l'ÉphémèreLLL, mais un ensemble de 10 attitudes sonnant qu'importe quoi provoquant le chef d'orchestre dans le défi d'un combat à faire entendre que les musiciens.nes de l'orchestre ne jouent pas le jeu de la musique. Et à se contenter de ça. Cette déresponsabilisation générale combative des musiciens.nes de l'orchestre qui imposant par leur irresponsabilité acquise la responsabilité au compositeur à lui imposer de jouer le rôle de chef, qu'il n'a pas voulu, a été une confrontation physiquement épuisante. Et les intentions irresponsables des individualités de l'orchestre ont généré une sensation générale tendue [nié par un excès d'agitation - de déconcentration - et de joie forcée]. Les musiciens et musiciennes qui se considèrent être libres sont en réalité joués par leur attitude, celle principale de démission quant à vouloir pouvoir jouer le jeu, par se croire libérés de leur responsabilité de ne pas nuire aux autres de pouvoir jouer le jeu. C'est ce paradoxe que cette musique du 16 sonne, pas la musique jeu de l'ÉphémèreLLL.

La musique est d'abord un art collectif. La musique existe par une entente commune de toutes celles et ceux qui s'accordent à l'entendre. Dans toute réalisation musicale, tous les protagonistes sont responsables du résultat final de la musique. Mais par vouloir « se libérer de sa responsabilité », la musique résultante sonne la négligence de « la tradition culturelle millénaire de l'homme soumis ». Mon travail est de recomposer cette négligence en exigence. C'est le résultat qu'on entend dans les disques que je publie. Il existe très peu de musiciens sur la planète qui comprennent cette pollution de la musique par la majorité de ses pratiquants qui sont convaincus renverser l'hypocrisie en attitude spontanée. La source de la maladie comportementale des individus de nos sociétés réside exactement là. Mais pour pouvoir la soigner, il faut d'abord la reconnaître. Et là, nous sommes encore très très loin du diagnostic de cette reconnaissance. *

Depuis 45 ans, à proposer une manière différente de jouer la musique, je n'ai jamais rencontré ni musiciennes ni musiciens prêts à cet engagement intègre (au contraire de se faire croire ce qu'on n’est pas). Toutes et tous se cramponnent aux 3 comportements crus acquis, qui ne se mélangent jamais : soit exécuter (= se rapprocher au + près de la volonté du compositeur), soit interpréter (être à mis chemin entre la volonté du compositeur et la sienne), soit improviser (n'en faire qu'à sa tête et ignorer la volonté du compositeur). Ces 3 comportements ne sont pas exempts de stéréotypes. Si ces 3 comportements existent dans nos sociétés, c'est parce que ce sont des stéréotypes. Ce sont 3 réactions, pas des interactions, qui forment envers la création musicale des barrages qui empêchent de créer des musiques inouïes et originales en orchestre. Et l'a priori des musiciens qui marquent le compositeur (différent des autres) est que sa musique doit sonner « forcément » cette « musique contemporaine du XXe siècle » que tout le monde rejette et est rejetée des scènes des salles de concert public (pour y remettre la musique classique de compositeurs morts qui n'enquiquinent personne). La musique contemporaine sonne le XXe siècle. Ma musique, qui n'a peu à voir avec la musique contemporaine (bien qu'elle en ait aussi issue, mais pas que) sonne le XXIe siècle. Depuis 45 ans, je n'ai pas encore entendu la sonnance ludique de mes musiques jeux.

Mathius Shadow-Sky, Toulouse le 18 mai 2025

Pour approfondir
Pour comprendre toutes les expressions de la crise de l'orchestre
après la première mondiale de la musique jeu de l'ÉphémèreLLL le 16 mai 2025
[.txt 31Ko]
Analyse

 

 

.

 

 

L'Orchestre Ludique Éphémère on le sait, n'existe que le temps de la musique.
C'est son principe,
pour ne pas se prendre la tête avec une intendance impossible,
parce que maintenir en vie un orchestre avec des financements qui n'existent plus pour la création musicale originale
est à la base de la volonté politique de destruction globale de l'art.
Les musiciens de l'Orchestre Ludique Éphémère sont des joueurs [ou tentent de l'être, ou refusent de l'être]. Les attitudes que provoque le contexte de cet orchestre unique quant aux comportements des musiciens et musiciennes (en chaîne imitative) révèlent la crise profonde de sens que vit l'humanité, celle de mentalité occidentale, qui cultive déni sur déni, qui cultive ignorance volontaire sur ignorance générale. Le choc de la révélation de la volonté d'hypocrise générale est d'autant plus intense avec la musique.

 

 

.

 

 

La création de cet orchestre
pour la création de
la musique jeu de l'EphémèreLLL
est un témoignage de destruction
de la liberté de la création musicale
au profit de la liberté des musiciens
d'en faire qu'à leur tête.

« Pour ne pas oublier
qu'on est là d'abord pour s'amuser,
peu importe le jeu. » (sic)

 

 

.

 

 

28 JUIN 2025 : FIN OBLIGÉE
DE L'ORCHESTRE LUDIQUE ÉPHÉMÈRE
durée d'existence : 77 jours + 43 jours

Mathius Shadow-Sky sad to listen the destruction of the EphemereLLL music gamewhat the others enjoy!
Mathius Shadow-Sky being sad by listening his music game: the EphemereLLL destroyed
with an inapropriate improvisation by musicians performing an other music,
while they seems having fun! [photos: Zuzana Mikytova]

 

 

La musique jeu du 28 juin commence par 3 différents accords, au lieu d'1 seul pour la version du 16 mai, c'est à dire qu'à chaque accord, chacun et tous changent leur ton dans l'échelle nonoctaviante différente retenue par chacun.

Pour une seconde partie de la musique jeu de l'EphémèreLLL, le 28 juin, l'orchestre s'est réduit au quatuor des Guitares Volantes avec un invité : le trombone. Les autres étant absents, malades, indisponibles ou simplement refusant de jouer la musique jeu qui s'est révélée en mai dernier être révélatrice du comportement hypocrite généralisé dans nos sociétés qui révélé provoque une explosion de violence démesurée, même de la part des musiciennes et musiciens de l'orchestre (= microcosme social) ludique éphémère. Personne n'est innocent bien que tout le monde se prétend. Ce qui signifie que les musiciennes et musiciens et artistes, toutes celles et tous ceux qui se prétendent artiste, sont en réalité les ouvriers de la destruction de l'intégrité de l'art et de la musique (remplacés par l'apparence et la diversion) de notre civilisation (gouvernée par la peur). Les violences reçues des musiciennes et musiciens de l'orchestre en réponse à cette création musicale injouée du mois de mai, ont été disproportionnées. Il est donc essentiel de comprendre pourquoi.

Puis le 28 juin, pour le 2d concert de l'EphémèreLLL, il y a bien eu destruction de la musique jeu par 3 musiciens sur 5 de l'ensemble. 1, volontairement pour affirmer et confirmer la présence de sa personnalité qui ne « défend » que la « musique improvisée » (sic), le 2d par imitation du 1er, le 3e par incompétence de se donner les moyens de vouloir pouvoir jouer le jeu de l'EphémèreLLL, pourtant tellement simplifié par le compositeur. Il est apparu que revendiquer sa liberté (d'improviser qu'importe quoi sauf ce qui a été convenu avec la musique jeu de l'EphémereLLL) sa liberté et l'imposer à l'ensemble se renverse en dictature. 3 contre 1 avec l'autre navigant entre les 2.

Les 2 concerts du 16 mai et du 28 juin sont des succès publics. Mais le résultat musical des 2 concerts n'est pas ce qu’entendait ni n’attendait le compositeur. Le 1er sonne « musique contemporaine du XXe siècle », le 2d sonne « musique noise » de guitares électriques des années 80 du XXe siècle (dont j'étais l'un des créateurs avec entre autres Cauchemar Atomic en 1979). La musique jeu de l'EphémèreLLL qui mêle la grammaire de l'harmonie de la langue des lignes LLL et la musique jeu des Ephémérôdes Cardent des Chrônes n'ont pas été écrites pour résonner des genres connus passés, mais pour donner naissance à des musiques inconnues.

...

 

Discutons :

- Il apparaît que, ce que j'ai entendu joué pendant le concert n'est pas ce qu'on entend dans l'enregistrement !

- Pendant le concert, il y a eu un phénomène de massivité facile (« tout à fond », sic) que l'enregistrement n'a pas pris, ou ne s'est pas fait prendre, sans doute parce que l'enregistrement est complètement saturé, que le limiteur du Zoom n'a pas pu empêcher.

- Pour que le concert puisse être audible, j'ai opéré un nettoyage drastique, jusqu'à désaturation complète !

- Et le résultat musical enregistré restauré fait apparaître la musique décevante !

- Où on n’entend rien de la musique jeu de l'EphémèreLLL.

- Mais pourquoi avoir refusé de jouer la musique jeu de l'EphémèreLLL ?

- Et pour quoi vouloir jouer autre chose de ce qui a été préparé ?

- La réponse pour moi est très claire.

- Au lieu de sympathie, il y a eu entre 2 musiciens un rapport de force. Noyé dans la massivité. Massivité qui en elle-même est jouissive à entendre à se faire vibrer dans un bain de sons. La recette est connue depuis 49 ans.

- Oui, la belle sensation d'osmose crue du concert du 28 juin 2025 disparait à l'écoute de son enregistrement !

- Comment est-ce possible de la part du compositeur ?

- Ah ! Je voulais tellement que ça se passe bien ! Pour ça, je n'ai rien voulu entendre de la musique jeu détruite pendant le jeu.

- Les compliments publics gommant les premiers et derniers doutes percevant les refus des musiciens de jouer le jeu de l'EphémereLLL pendant le jeu pendant le concert.

- À écouter l'enregistrement hors contexte du concert, on entend parfaitement que les comportements de la musique jeu de l'EphémèreLLL ne sont pas joués !

- S'il ne sont pas joués par tous les joueurs, c'est qu'il y a refus de les jouer.

- Refuser de jouer le jeu, c'est dans l'effet vouloir détruire le jeu.

- On entend parfaitement bien qu'aucun n'est joué par l'ensemble.

- On entend partiellement des comportements proposés par le jeu qui sont noyés dans la masse du qu'importe quoi qui n'est pas qu'importe quoi, mais la résonnance d'1 ego en souffrance + 1 autre qui veulent se faire entendre par dessus la musique en imitant ce qu'ils ont entendu des musiques noises des années 80.

- Ce témoignage de destruction révèle que notre médiocratie règne même dans les milieux qui s'en croient exempts !

- Mais qui s'en souci ?

- Car à s'en soucier révèlerait la vérité dissimulée par le déni pour le règne social de l'hypocrisie.

- C'est un témoignage audio musicalement impubliable !

- Ou le témoignage de comment le jeu de l'EphemereLLL peut être détruit.

- Détruire un jeu, contrairement à ce que disait Roger Caillois, ne réside pas uniquement dans le refus passif de jouer. Le refus passif d'une personne dans l'ensemble des joueurs ne détruit pas le jeu, mais comme le tricheur l'enrichit. Expérience que j'ai eu avec Les Percusions de Strasbourg en 1988 jouant Ludus Musicae Temporarium. Pour détruire un jeu, il faut un refus actif. Le refus actif destructeur est d'imposer un autre jeu sur le jeu convenu à jouer ensemble = imposer ce refus de jouer le jeu en jouant un autre jeu (ou un anti-jeu) aux autres joueurs du jeu qui par facilité abandonnent le premier jeu convenu à jouer ensemble pour le second jeu plus facile. Là la destruction du jeu est réalisée par remplacement. La guerre a pris la place de la paix.

- C'est la déviation des joueurs, par les attirer à jouer l'anti-jeu, qui a détruit le jeu.

- Il y eut un maître de l'anti-jeu qui secrètement (= non-dit) a manipulé les autres à réaliser sa trahison pour détruire la musique attendue.

- Pourquoi avoir voulu trahir la musique de son ami compositeur pour la détruire ?

- Son ami ?

- Pour poser la sienne à la place.

...

 

 

.

 

 

Notes

* Musique savante vivante en Occitanie ?

Les coulisses des dilettantes ou la
vie éparpillée de négligences.
Dilettante, on se délecte de
l'incompétence amateure
(se croyant fantasque)
à ne pas jouer le jeu
ou à se jouer du jeu
tout en voulant jouer
avec les autres pour rire
de leur irritation.
En dilettante,
on se laisse conduire par ses
sensations crues plaisantes à
ignorer celles pénibles pour
confondre caprice et vivre libre.
Ça bâcle tout savoir et faire,
et se moque de la parole de son accord
à croire qu'irresponsable c'est être libre.
C'est la négligence de l'art,
et l'art de la négligence
qui font ici sonner la musique
si pénible à entendre.
C'est l'art de la dissipation
avec celle du sourd insistant
à vouloir jouer sa part pénible en public.

Tous les orchestres que j'ai formés ici dans le Sud-Ouest, tous étaient constitués de musiciens dilettantes, avec de rares exceptions. Jouer qu'un seul coup. On joue (on tente) et on s'tire. Sans approfondissement. Sans entrainement. Sans pouvoir vouloir savoir comprendre pour pouvoir savoir jouer sa partie essentielle à la cohérence (même crue chaotique) de l'ensemble. Non, que donner à sonner une tentative effectivement négligée, pour un essai essentiellement bâclé. Voilà comment sonne la musique orchestrale, voulue savante par le compositeur, ici dans le Sud-Ouest, en pays d'Occitanie, où rien n'importe, que le temps de l'amusement superficiel. Rien pour l'effort ! C'est pour cette raison que la musique ici ne sert qu'aux festivités. L'Occitan n'exige de la musique qu'une seule qualité : d'être entrainante. Pour faire monter l'excitation générale. Sexuelle ? C'est pour cette raison que les compositeurs de musique savante sont absents ici dans ce pays, ou, ont émigré ailleurs ; là-bas où la musique extraordinaire se cultive. Dans les pays sans soleil. Mais la dégradation du monde de la musique savante vivante a stérilisé les terres de la création publique. Pour quoi alors j'insiste, moi compositeur, à vouloir former des orchestres ici en pays d'Occitanie où les musiciens sont dilettantes ? Eh bien, rien n’est parfait ! Là-bas, dans le Nord des pays de la Germanie : l'excès de raideur empêche la chaleur turbulente de s'entendre. L'excès d'exactitude dévitalise ce qui devrait au contraire regorger de vitalité, de vivacité, d'ardeur : là-bas la glace remplace le feu. Il n'existe pas de milieu. Ou un pays d'équilibre. Où exigence de soi et ardeur cohabitent. Où soleil et brouillard s'interchangent la place au soleil par les danses des vents. Le compositeur ne demande pas aux musiciennes et musiciens d'être sérieux ; il appelle pour qu'un peu + de concentration soit suffisante à pouvoir savoir jouer le jeu de la musique pour la résonner extra-ordinaire. Je me rappelle comment Berlioz, dans un de ses écrits, pestait pour avoir constaté la suffisance des amateurs d'un orchestre, dont il avait été invité à diriger, mais qui l'empêchaient de parfaire la musique, c'était pour lui tellement irritant ! Parce qu'il ne pouvait rien leur faire jouer correctement ! Qu'à constater ces musiciens amateurs se satisfaire du peu d'exigence, et, nier leur responsabilité du résultat de la musique massacrée, et, sans honte de rendre se massacre public. Aujourd'hui, sans orchestre, le compositeur se dispose avec les machines exécutantes. Sachant que la formation d'un orchestre (sans budget) n'assure ici que la sonnance chaotique de la musique. Le temps d'une partie d'un jeu en partie à gâcher ? La négligence est un comportement régi par la terreur.

 

Témoignage :
La terreur habite les esprits de la jeunesse du XXIe siècle
ce qui rend particulièrement difficile de former des orchestres compétents

 

En vouloir à savoir + ? :

. Pour Quoi l'Orchestre ?

. Quelle est la différence entre la musique improvisée et la musique jeu ?

 

 

re tour à la table des matières